Blog
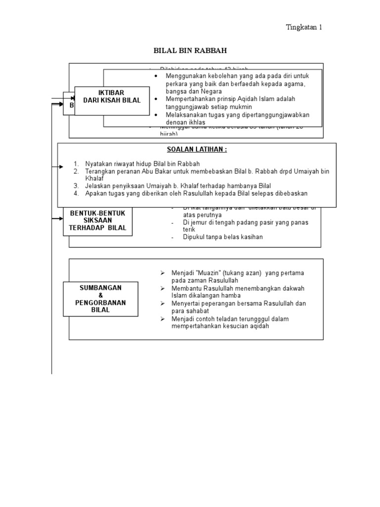
Biodata Bilal Bin Rabah
fathul bari mat jahya
doa awal tahun hijrah melayu
e taling dan e pepet contoh
farhash wafa salvador rizal mubarak
faktor ancaman terhadap negara
dr tan yee kew
faktor kenaikan harga barang
e solat kuala terengganu
Kelahiran Dan Riwayat Hidup Bilal Bin Rabah
R Raihan 3bestari Tokoh Sahabat Bilal Bin Rabah Lessons Tes Teach
Bilal Bin Rabbah Lessons Tes Teach
Biodata Bilal Bin Rabah
Kelahiran Dan Riwayat Hidup Bilal Bin Rabah
R Raihan 3bestari Tokoh Sahabat Bilal Bin Rabah Lessons Tes Teach
Biodata Bilal Bin Rabah
Sirah Tokoh Sahabat Pages 1 17 Text Version Anyflip
Ammar Bin Yasir
Bilal Bin Rabah Yang Tak Mau Jadi Muadzin Thamzil Th Hir
R Raihan 3bestari Tokoh Sahabat Bilal Bin Rabah Lessons Tes Teach
Biodata Bilal
Bilal Bin Rabah Group 4
Biodata Bilal
Bilal Bin Rabah Mopdb Sma Pembangunan I Bogor
Bilal Bin Rabbah Lessons Tes Teach
Bilal Ibn Rabah Wikipedia
Sirah Pel 29 Unit 3 4 By Tajuk
Tokoh Bilal
Untuk Kita Kita Biodata Bilal Bin Rabah
Source :
pinterest.com
Random Posts
Syarikat Perkapalan Di Malaysia
Tahun Melawat Malaysia 2020
Sumbangan Salahuddin Al Ayyubi
Tali Pinggang Keselamatan Di Tapak Bina
Tabung Amanah Pendidikan Negeri Melaka
Sultan Muhammad V Biodata
Syarikat Penerbangan Di Malaysia
Suruhanjaya Pilihan Raya Berfungsi
Sumbangan Salahuddin Al Ayyubi Dalam Bidang Ekonomi
Tahun Kelahiran Nabi Muhammad Saw
Taat Kepada Ibu Bapa
Tahun Melawat Malaysia 2020 Dibatalkan
Syarikat Bekalan Air Negeri Sembilan
Tahfiz Darul Quran Ittifaqiyah
Sultan Titah Najib Letak Jawatan
Tahun Kelahiran Nabi Muhammad
Takwim Persekolahan 2018 Kpm
Taman Perindustrian Nusa Cemerlang
Syarat Sah Solat Jamak Takhir
Tan Sri Abdul Aziz Yeop